molecular necklace(MN)は、要するに位相結合した分子の輪なのですが、catenaneとは違ってひとつの大きな輪に小さな輪が3個以上はまりこんだ形の分子です(catenaneについては、おもしろ化合物第5話「できた五輪マーク」参照)。catenaneは基本的に直鎖の連鎖なので、MNはその変化形ではありますが、分枝catenaneなどというのも最近はありますからそれほど厳密な区別ではありません。molecular necklaceでは、全環数をnとすると、[n]MNと表記します。今回のは[4]MNの合成です。
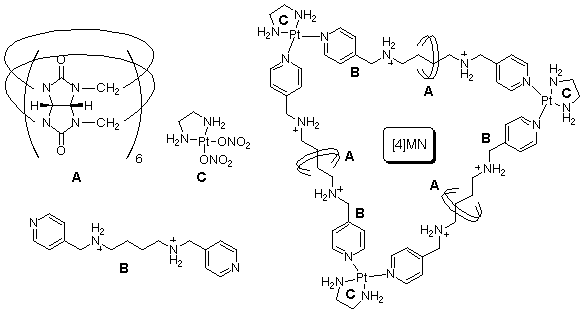
で、今回の分子ネックレスですが、ユニットがA、B、Cと3種からなっていて、Aはcucurbiturilという、環状ウレアの縮環体みたいのがメチレン橋を介して6単位大環状に巻いた分子、Bはピリジン2個をアルカンジアミン鎖でつないだ鎖状分子、Cは白金のエチレンジアミン錯体(硝酸塩)です。これらを水中で等モルずつ混合し、24時間還流加熱すると、なんと90%の収率でA、B、C3分子ずつが結合したネックレス(AをすりぬけているBの糸をCの留め金で結んだ三角形)が合成できました。BにAが巻きついたものが、Aどうしの相互作用で 引き合って配置し、Cのところで閉環するということのようです。

self-assemblyというのが最近のはやりで、catenane類合成には大昔は確率法で、あなたまかせの超低収率でしかつくれなかったのが、いまじゃ自動的に配向して高収率でこういう分子がつくれるようになっています。しかし90%とは驚きですね。できたからどうってこともないんですけど(^^;、要所にプラチナを配したネックレスなんざ洒落たものですね(^^)。
ref. D.Whang, K.-M.Park, J.Heo, P.Ashton and K.Kim, J. Am. Chem. Soc.,1998, 120, 4899-4900.